µØ¸ßÐÁ¿Ú·þÈÜÒº
ÓÃÓÚÓ¤¶ù¼°¶ùͯµÄ³äѪÐÔÐÄÁ¦Ë¥½ß¼°Ä³Ð©ÊÒÉÏÐÔÐÄÂÉʧ³£¡£¡£¡£¡£¡£
µØ¸ßÐÁ¿Ú·þÈÜҺ˵Ã÷Êé
Çë×ÐϸÔĶÁ˵Ã÷Êé²¢ÔÚҽʦָµ¼ÏÂʹÓÃ
¡¾Ò©Æ·Ãû³Æ¡¿
ͨÓÃÃû³Æ£ºµØ¸ßÐÁ¿Ú·þÈÜÒº
Ó¢ÎÄÃû³Æ£ºDigoxin Oral Solution
ººÓïÆ´Òô£ºDigaoxin Koufurongye
¡¾³É·Ý¡¿
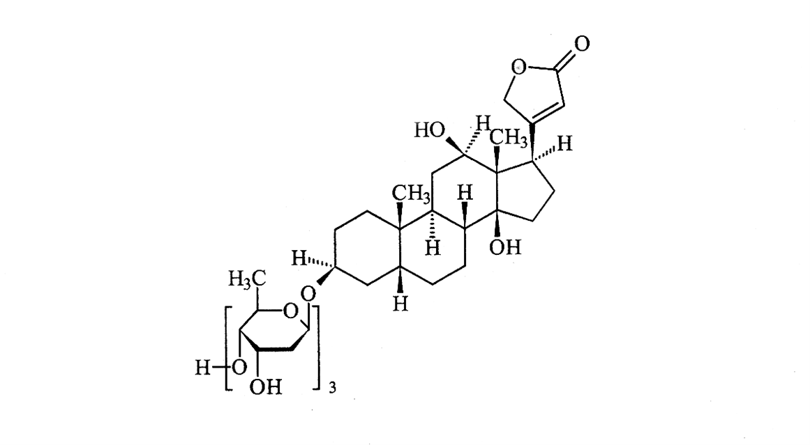
»¯Ñ§Ãû³Æ£º±¾Æ·Ö÷Òª³É·ÝΪµØ¸ßÐÁ£¬£¬£¬£¬£¬3¦Â-£Û£ÛO-2£¬£¬£¬£¬£¬6-¶þÍÑÑõ-¦Â-D-ºË-¼ºßÁà«ÌÇ»ù-(1¡ú4)-O-2£¬£¬£¬£¬£¬6-¶þÍÑÑõ-¦Â-D-ºË-¼ºßÁà«ÌÇ»ù-(1¡ú4)-2£¬£¬£¬£¬£¬6-¶þÍÑÑõ-¦Â-D-ºË-¼ºßÁà«ÌÇ»ù£ÝÑõ´ú£Ý-12¦Â£¬£¬£¬£¬£¬14¦Â-¶þôÇ»ù-5¦Â-ÐÄçÞ-20(22)Ï©ÄÚõ¥¡£¡£¡£¡£¡£
»¯Ñ§½á¹¹Ê½£º

·Ö×Óʽ£ºC41H64O14
·Ö×ÓÁ¿£º780.95
¡¾ÐÔ×´¡¿
±¾Æ·ÎªÎ¢»ÆÉ«µÄ³ÎÇåÒºÌ壬£¬£¬£¬£¬ÂÔÓд¼Î¶¡£¡£¡£¡£¡£
¡¾Ë³Ó¦Ö¢¡¿
ÓÃÓÚÓ¤¶ù¼°¶ùͯµÄ³äѪÐÔÐÄÁ¦Ë¥½ß¼°Ä³Ð©ÊÒÉÏÐÔÐÄÂÉʧ³£¡£¡£¡£¡£¡£
¡¾¹æ¸ñ¡¿
30ml£º1.5mg£»£»£»£»£»100ml£º5mg
¡¾Ó÷¨ÓÃÁ¿¡¿
¶ÔÉö¹¦Ð§Õý³£µÄ»¼¶ù°´ÌåÖØ¸ø·ÅÑóµØ»Æ»¯Á¿µÄµØ¸ßÐÁ¿Ú·þÈÜÒºµÄÓÃÁ¿£º¿Ú·þ¡£¡£¡£¡£¡£±¥ºÍÁ¿×ÜÁ¿£¬£¬£¬£¬£¬£¼2Ë꣬£¬£¬£¬£¬0.06¡«0.08mg/kg(Ï൱ÓÚ¿Ú·þÈÜÒº1.2¡«1.6ml/kg), £¾2Ë꣬£¬£¬£¬£¬0.04¡«0.06mg/kg(Ï൱ÓÚ¿Ú·þÈÜÒº0.8¡«1.2ml/kg);·Ö3¡«6´ÎÍê³É±¥ºÍ¡£¡£¡£¡£¡£ÒÔºóÓÃÉÏÊöÁ¿µÄ1/4ΪÖðÈÕά³ÖÁ¿¡£¡£¡£¡£¡£
Ôç²ú¶ùºÍÐÂÉú¶ùÒËÓÃ1/3»ò1/2Á¿¡£¡£¡£¡£¡£Èç·ºÆðÐÄÂÉʧ³£µÈÖж¾Õ÷Ï󣬣¬£¬£¬£¬Ó¦Í£Ò©»ò¼Ó·þÂÈ»¯¼Ø¡£¡£¡£¡£¡£
¡¾²»Á¼·´Ó¦¡¿
1.³£¼ûµÄ²»Á¼·´Ó¦°üÀ¨£ºÐ·ºÆðµÄÐÄÂÉʧ³£¡¢Î¸Äɲ»¼Ñ»ò¶ñÐÄ¡¢ÍÂÄæ¡¢Ï¸¹Í´¡¢ÎÞÁ¦¡¢ÈíÈõ¡£¡£¡£¡£¡£
2.ÉÙ¼ûµÄ·´Ó¦°üÀ¨£ºÊÓÁ¦Ä£ºý»ò¡°É«ÊÓ¡±£¨Öж¾Ö¢×´Èç»ÆÊӵȣ©¡¢¸¹Ðº¡¢¾«ÉñÒÖÓô»òÅÓÔÓ¡£¡£¡£¡£¡£
3.ÓÐÊýµÄ·´Ó¦°üÀ¨£ºÊÈ˯¡¢Í·Í´¼°Æ¤ÕݡÂéÕ¹ýÃô·´Ó¦£©¡£¡£¡£¡£¡£
4.ÔÚÑóµØ»ÆµÄÖж¾ÌåÏÖÖУ¬£¬£¬£¬£¬ÐÄÂÉʧ³£×îÖ÷Òª£¬£¬£¬£¬£¬×î³£¼ûÕßΪÊÒÐÔÔ粫£¬£¬£¬£¬£¬Ô¼Õ¼ÐÄÔà·´Ó¦µÄ33%¡£¡£¡£¡£¡£Æä´ÎΪ·¿ÊÒ´«µ¼×èÖÍ£¬£¬£¬£¬£¬Õó·¢ÐÔ»ò¼ÓËÙÐÔ½ÓÈÀÐÔÐ͝¹ýËÙ£¬£¬£¬£¬£¬Õó·¢ÐÔ·¿ÐÔÐ͝¹ýËÙ°é·¿ÊÒ´«µ¼×èÖÍ£¬£¬£¬£¬£¬ÊÒÐÔÐ͝¹ýËÙ¡¢ñ¼ÐÔÍ£²«¡¢ÐÄÊÒ²ü¶¶µÈ¡£¡£¡£¡£¡£¶ùͯÖÐÐÄÂÉʧ³£±ÈÆäËû·´Ó¦¶à¼û£¬£¬£¬£¬£¬µ«ÊÒÐÔÐÄÂÉʧ³£±È³ÉÈËÉÙ¼û¡£¡£¡£¡£¡£ÐÂÉú¶ù¿ÉÓÐP£R¼äÆÚÑÓÉì¡£¡£¡£¡£¡£
¡¾½û¼É¡¿
1.Óë¸Æ×¢Éä¼ÁÊÊÓ㻣»£»£»£»
2.ÈκÎÇ¿ÐÄÜÕÖÆ¼ÁÖж¾£»£»£»£»£»
3.ÊÒÐÔÐ͝¹ýËÙ¡¢ÐÄÊÒ²ü¶¶£»£»£»£»£»
4.¹£×èÐԷʺñÐÍÐ¡£¡£¡£¡£¡£¨Èô°éËõ¶Ì¹¦Ð§²»È«»òÐÄ·¿²ü¶¶ÈÔ¿ÉÓ¦Óã©£»£»£»£»£»
5.Ô¤¼¤×ÛºÏÕ÷°éÐÄ·¿²ü¶¶»òÆË¶¯¡£¡£¡£¡£¡£
É÷ÓÃÓÚ£º
1.µÍ¼ØÑªÖ¢£»£»£»£»£»
2.²»ÍêÈ«ÐÔ·¿ÊÒ´«µ¼×èÖÍ£»£»£»£»£»
3.¸ß¸ÆÑªÖ¢£»£»£»£»£»
4.¼××´ÏÙ¹¦Ð§µÍÏ£»£»£»£»£»
5.ȱѪÐÔÐÄÔಡ£¡£¡£¡£¡£»£»£»£»£»
6.Ð£ËÀ£»£»£»£»£»
7.Ðļ¡Ñ×£»£»£»£»£»
8.Éö¹¦Ð§Ë𺦣»£»£»£»£»
9.¾Æ¾«¹ýÃô¡£¡£¡£¡£¡£
¡¾×¢ÖØÊÂÏî¡¿
¶Ôñ¼ÐÔÐÄÂɵÄÇá¡¢ÖжȳäѪÐÔÐÄÁ¦Ë¥½ßµÄ»¼Õߣ¬£¬£¬£¬£¬µØ¸ßÐÁÄÜÔöÌíÉäѪ·ÖÊý£¬£¬£¬£¬£¬¸ÄÉÆ×óÊÒ¹¦Ð§£¬£¬£¬£¬£¬Ô¤·À²¡Çé¶ñ»¯£¬£¬£¬£¬£¬µ«¼±ÐÔÐ£ËÀºóµÄ×óÐĹ¦Ð§²»È«£¨ÓÈÆäÊ×ÈÕ·¢²¡£¡£¡£¡£¡£©Ó¦É÷Óᣡ£¡£¡£¡£ÓÃҩʱ´úӦע֨¼à²â£º
¢Ù Ѫѹ¡¢ÐÄÂɼ°ÐÄÂÊ£»£»£»£»£»
¢Ú Ðĵçͼ£»£»£»£»£»
¢Û ÐĹ¦Ð§¼à²â£»£»£»£»£»
¢Ü µç½âÖÊÓÈÆä¼Ø¡¢¸Æ¡¢Ã¾£»£»£»£»£»
¢Ý Éö¹¦Ð§£»£»£»£»£»
¢ÞÒÉÓÐÑ󵨻ÆÖж¾Ê±£¬£¬£¬£¬£¬Ó¦×÷µØ¸ßÐÁѪҩŨ¶È²â¶¨¡£¡£¡£¡£¡£¹ýÁ¿Ê±£¬£¬£¬£¬£¬ÓÉÓÚÐî»ýÐÔС£¬£¬£¬£¬£¬£°ãÓÚÍ£Ò©ºó1¡«2ÌìÖж¾ÌåÏÖ¿ÉÒÔÏûÍË¡£¡£¡£¡£¡£ÈçµØ¸ßÐÁѪҩŨ¶ÈÔÚ2.0¡«2.5ng/mlÒÔÉÏ£¬£¬£¬£¬£¬Ó¦Ð¡ÐÄÑóµØ»Æ¹ýÁ¿¶¾ÐÔ·´Ó¦¡£¡£¡£¡£¡£»£»£»£»£»¼Õß2-3ÖÜǰδӦÓÃÑ󵨻ÆÀàÖÆ¼ÁÕߣ¬£¬£¬£¬£¬ÐëҪʱ¿É˼Á¿¸øÓ踺ºÉÁ¿£»£»£»£»£»Éö¹¦Ð§²»È«Õߣ¬£¬£¬£¬£¬²»ÒËÓ¦ÓõظßÐÁ£¬£¬£¬£¬£¬Ó¦Ñ¡ÓÃÑóµØ»Æ¶¾ÜÕ£»£»£»£»£»Ó¦ÓÃÑóµØ»Æ»¼Õß³£¶Ôµç¸´Âɼ«ÎªÃô¸Ð£¬£¬£¬£¬£¬Ó¦¸ß¶ÈСÐÄ£»£»£»£»£»Í¸Îö²»¿É´ÓÌåÄÚѸËÙÈ¥³ý±¾Æ·£»£»£»£»£»ÔÚ±¾Æ·ÒýÆðÑÏÖØ»òÍêÈ«ÐÔ·¿ÊÒ´«µ¼×èÖÍʱ£¬£¬£¬£¬£¬²»Ò˲¹¼Ø£»£»£»£»£»ÍíÄê¼°ÐéÈõÕßÔÚ³£ÓüÁÁ¿¼°ÑªÒ©Å¨¶Èʱ¾Í¿ÉÓÐÖж¾·´Ó¦£»£»£»£»£»Ó¤Ó×¶ùÒªÔÚѪҩŨ¶È¼°Ðĵç¼à²âÏÂÔöÌí¼ÁÁ¿£»£»£»£»£»°ëË¥ÆÚ½Ï¶ÌµÄ±¾Æ·£¨°ëË¥ÆÚƽ¾ùΪ36Сʱ£©£¬£¬£¬£¬£¬ÖðÈÕ¿Ú·þ0.25©J£¬£¬£¬£¬£¬¾5¸ö°ëË¥ÆÚ£¨Ô¼6¡«8ÈÕ£©¿ÉµÖ´ïÑóµØ»Æ»¯ÑªÒ©Å¨¶ÈµÄ96%¡£¡£¡£¡£¡£ÈçÈÔ²»¿ÉµÖ´ïÖÎÁÆÐ§¹û£¬£¬£¬£¬£¬¿ÉÊʵ±ÔöÌí¼ÁÁ¿¡£¡£¡£¡£¡£È粡Çé½Ï¼±£¬£¬£¬£¬£¬Îª½Ï¿ìµÖ´ïÓÐÓÃŨ¶È£¬£¬£¬£¬£¬ÈÔÐèÏȸø¸ººÉÁ¿£¬£¬£¬£¬£¬µ«¼ÁÁ¿Ðè¸öÌ廯£»£»£»£»£»µ±»¼ÕßÓÉÇ¿ÐÄÜÕ×¢ÉäÒº¸ÄΪ±¾Æ·Ê±£¬£¬£¬£¬£¬ÎªÅâ³¥Ò©Îï¼äÒ©´ú¶¯Á¦Ñ§²î±ð£¬£¬£¬£¬£¬ÐèÒªµ÷½â¼ÁÁ¿¡£¡£¡£¡£¡£
¡¾Ôи¾¼°²¸ÈéÆÚ¸¾Å®ÓÃÒ©¡¿Î´¾ÙÐиÃÏîʵÑéÇÒÎÞ¿É¿¿²Î¿¼ÎÄÏס£¡£¡£¡£¡£
¡¾¶ùͯÓÃÒ©¡¿Î´¾ÙÐиÃÏîʵÑéÇÒÎÞ¿É¿¿²Î¿¼ÎÄÏס£¡£¡£¡£¡£
¡¾ÍíÄêÓÃÒ©¡¿Î´¾ÙÐиÃÏîʵÑéÇÒÎÞ¿É¿¿²Î¿¼ÎÄÏס£¡£¡£¡£¡£
¡¾Ò©ÎïÏ໥×÷Óá¿
£¨1£©ÓëÁ½ÐÔÃ¹ËØB¡¢Æ¤Öʼ¤ËØ»òʧ¼ØÀûÄò¼ÁÈç²¼ÃÀËûÄᣨbumetanide£©¡¢ÒÀËûÄáËᣨethacrynic acid£©µÈÊÊÓÃʱ£¬£¬£¬£¬£¬¿ÉÒòµÍѪ¼Ø¶øÖÂÑ󵨻ÆÖж¾¡£¡£¡£¡£¡£
£¨2£©ÓëÖÆËáÒ©£¨ÓÈÆäÈý¹èËáþ£©»òֹкÎü¸½Ò©Èç°×ÌÕÍÁ¡¢¹û½º¡¢¿¼À´Ï©°·£¨colestyramine£©ºÍÆäËûÒõÀë×Ó½»Á÷Ê÷Ö¬¡¢Áøµª»ÇßÁण¨sulfasalazine£©»òÐÂÃ¹ËØ¡¢¶Ô°±»ùË®ÑîËáÊÊÓÃʱ£¬£¬£¬£¬£¬¿ÉÒÖÖÆÑ󵨻ÆÇ¿ÐÄÜÕÎüÊÕ¡£¡£¡£¡£¡£
£¨3£©Ó뿹ÐÄÂÉʧ³£Ò©¡¢¸ÆÑÎ×¢Éä¼Á¡¢¿É¿¨Òò»òÄâÉöÉÏÏÙËØÀàÒ©ÊÊÓÃʱ£¬£¬£¬£¬£¬¿Éµ¼ÖÂÐÄÂÉʧ³£¡£¡£¡£¡£¡£
£¨4£©ÓÐÑÏÖØ»òÍêÈ«ÐÔ·¿ÊÒ´«µ¼×èÖͶøÑª¼ØÕý³£µÄÑóµØ»Æ»¯»¼Õß²»Ó¦Í¬Ê±Ó¦ÓüØÑΣ¬£¬£¬£¬£¬µ«àçàºÀà
ÀûÄò¼ÁÓ뱾ƷÊÊÓÃʱ£¬£¬£¬£¬£¬Ó¦±ÜÃâµÍ¼ØÑªÖ¢¡£¡£¡£¡£¡£
£¨5£©¦ÂÊÜÌå×èÖͼÁÓ뱾ƷÊÊÓ㬣¬£¬£¬£¬Óе¼Ö·¿ÊÒ´«µ¼×èÖͱ¬·¢ÑÏÖØÐ͝¹ý»ºµÄ¿ÉÄÜ¡£¡£¡£¡£¡£µ«²¢²»É¨³ý¦Â×èÖͼÁÓÃÓÚÑóµØ»Æ²»¿É¿ØÖÆÐÄÊÒÂʵÄÊÒÉÏÐÔ¿ìËÙÐÄÂÉʧ³£¡£¡£¡£¡£¡£
£¨6£©Óë¿üÄᶡͬÓ㬣¬£¬£¬£¬¿Éʹ±¾Æ·ÑªÒ©Å¨¶ÈÌá¸ßÔ¼Ò»±¶£¬£¬£¬£¬£¬Á½Ò©ÊÊÓÃʱӦ×üõµØ¸ßÐÁÓÃÁ¿1/2¡«1/3¡£¡£¡£¡£¡£
£¨7£©ÓëάÀÅÁÃס¢µØ¶ûÁò?¡¢°·µâͪÊÊÓ㬣¬£¬£¬£¬¿ÉÒýÆðÑÏÖØÐ͝¹ý»º¡£¡£¡£¡£¡£
£¨8£©ÂÝÄÚõ¥¿ÉÑÓÉ챾Ʒ°ëË¥ÆÚ¡£¡£¡£¡£¡£
£¨9£©Ñª¹ÜÖ÷ÒªËØ×ª»»Ã¸ÒÖÖÆ¼Á¼°ÆäÊÜÌåÞ׿¹¼Á¿Éʹ±¾Æ·ÑªÒ©Å¨¶ÈÔö¸ß¡£¡£¡£¡£¡£
£¨10£©ßÅßáÃÀÐÁ£¨indomethacin£©¿Éʹ±¾Æ·°ëË¥ÆÚÑÓÉ죬£¬£¬£¬£¬Ðè¼à²âѪҩŨ¶È¼°Ðĵçͼ¡£¡£¡£¡£¡£
£¨11£©Óë¸ÎËØÍ¬Ó㬣¬£¬£¬£¬Äܲ¿·ÖµÖÏû¸ÎËØµÄ¿¹Äý×÷ÓÃ,Ӧע֨µ÷½â¸ÎËØÓÃÁ¿¡£¡£¡£¡£¡£
£¨12£©ÑóµØ»Æ»¯Ê±¾²ÂöÓÃÁòËáþӦ¼«ÆäÉóÉ÷£¬£¬£¬£¬£¬¿É±¬·¢ÐÄÔà´«µ¼×èÖÍ¡£¡£¡£¡£¡£
£¨13£©ºìÃ¹ËØ¿ÉÔöÌí±¾Æ·ÔÚ賦µÀµÄÎüÊÕ¡£¡£¡£¡£¡£
¡¾Ò©Îï¹ýÁ¿¡¿
δ¾ÙÐиÃÏîʵÑéÇÒÎÞ¿É¿¿²Î¿¼ÎÄÏס£¡£¡£¡£¡£
¡¾Ò©Àí¶¾Àí¡¿
ÖÎÁƼÁÁ¿Ê±¾ßÓУº
1.ÕýÐÔ¼¡Á¦×÷Ó㺱¾Æ·Ñ¡ÔñÐÔµØÓëÐļ¡Ï¸°ûĤNa+-K+-ATPøÍÅ½á¶øÒÖÖÆ¸Ãø»îÐÔ£¬£¬£¬£¬£¬Ê¹Ðļ¡Ï¸°ûĤÄÚÍâNa+-K+×Ô¶¯Å¼Áª×ªÔËÊÜË𣬣¬£¬£¬£¬Ðļ¡Ï¸°ûÄÚNa+Ũ¶ÈÉý¸ß£¬£¬£¬£¬£¬´Ó¶øÊ¹¼¡Ä¤ÉÏNa+-Ca2+½»Á÷Ç÷ÓÚ»îÔ¾£¬£¬£¬£¬£¬Ê¹Ï¸°û½¬ÄÚCa2£«Ôö¶à£»£»£»£»£»¼¡½¬ÍøÄÚCa2+´¢Á¿ÒàÔö¶à£¬£¬£¬£¬£¬Ðļ¡ÐË·Üʱ£¬£¬£¬£¬£¬Óн϶àµÄCa2+ÊÍ·Å£»£»£»£»£»Ðļ¡Ï¸°ûÄÚCa2+Ũ¶ÈÔö¸ß£¬£¬£¬£¬£¬Ðļ¡Ëõ¶ÌÂѰ׼¤¶¯ÔöÇ¿´Ó¶øÔöÌíÐļ¡Ëõ¶ÌÁ¦¡£¡£¡£¡£¡£
2.¸ºÐÔÆµÂÊ×÷ÓãºÓÉÓÚÆäÕýÐÔ¼¡Á¦×÷Ó㬣¬£¬£¬£¬Ê¹Ë¥½ßÐÄÔàÐÄÊä³öÁ¿ÔöÌí£¬£¬£¬£¬£¬ÑªÁ÷¶¯Á¦Ñ§¸ÄÉÆ£¬£¬£¬£¬£¬Ïû³ý½»¸ÐÉñ¾ÕÅÁ¦µÄ·´ÉäÐÔÔö¸ß£¬£¬£¬£¬£¬²¢ÔöÇ¿ÃÔ×ßÉñ¾ÕÅÁ¦£¬£¬£¬£¬£¬Òò¶ø¼õÂýÐÄÂÊ¡¢ÑÓ»º·¿ÊÒ´«µ¼¡£¡£¡£¡£¡£±ðµÄ£¬£¬£¬£¬£¬Ð¡¼ÁÁ¿Ê±Ìá¸ßñ¼·¿½á¶ÔÃÔ×ßÉñ¾¼¤¶¯µÄÃô¸ÐÐÔ£¬£¬£¬£¬£¬¿ÉÔöÇ¿Æä¼õÂýÐÄÂÊ×÷Óᣡ£¡£¡£¡£ÓÉÓÚÆä¸ºÐÔÆµÂÊ×÷Ó㬣¬£¬£¬£¬Ê¹ÊæÕÅÆÚÏà¶ÔÑÓÉ죬£¬£¬£¬£¬ÓÐÀûÓÚÔöÌíÐļ¡Ñª¹©£»£»£»£»£»´ó¼ÁÁ¿Ôò¿ÉÖ±½ÓÒÖÖÆñ¼·¿½á¡¢·¿ÊÒ½áºÍÏ£ÊÏÊø¶ø·ºÆðñ¼ÐÔÐ͝¹ý»ººÍ²î±ðˮƽµÄ·¿ÊÒ´«µ¼×èÖÍ¡£¡£¡£¡£¡£
3.ͨ¹ý¶ÔÐçÔ˶¯µÄÖ±½Ó×÷ÓúͶÔÃÔ×ßÉñ¾µÄ¼ä½Ó×÷Ó㬣¬£¬£¬£¬½µµÍñ¼·¿½á×ÔÂÉÐÔ£»£»£»£»£»Ìá¸ßÆÖ¿ÏÒ°ÏËά×ÔÂÉÐÔ£»£»£»£»£»¼õÂý·¿Êҽᴫµ¼ËÙÂÊ£¬£¬£¬£¬£¬ÑÓÉìÆäÓÐÓò»Ó¦ÆÚ£¬£¬£¬£¬£¬µ¼Ö·¿ÊÒ½áÒþÄäÐÔ´«µ¼ÔöÌí£¬£¬£¬£¬£¬¿É¼õÂýÐÄ·¿Ï˲ü»òÐÄ·¿ÆË¶¯µÄÐÄÊÒÂÊ£»£»£»£»£»ÓÉÓÚ±¾Ò©Ëõ¶ÌÐÄ·¿ÓÐÓò»Ó¦ÆÚ£¬£¬£¬£¬£¬µ±ÓÃÓÚ·¿ÐÔÐ͝¹ýËٺͷ¿ÆËʱ£¬£¬£¬£¬£¬¿ÉÄܵ¼ÖÂÐÄ·¿ÂʵļÓËÙºÍÐÄ·¿ÆË¶¯×ªÎªÐÄ·¿Ï˲ü£»£»£»£»£»Ëõ¶ÌÆÖ¿ÏÒ°ÏËάÓÐÓò»Ó¦ÆÚ¡£¡£¡£¡£¡£
¡¾Ò©´ú¶¯Á¦Ñ§¡¿
µØ¸ßÐÁΪÓÉ뻨Ñ󵨻ÆÌá´¿ÖÆµÃµÄÖÐЧǿÐÄÜÕ£¬£¬£¬£¬£¬ÆäÌØµãÊÇÉøÍ¸½Ï¿ì¶øÐî»ýÐÔ½ÏС£¬£¬£¬£¬£¬ÁÙ´²Ê¹ÓñÈÑóµØ»ÆÆ¬ºÍÑóµØ»Æ¶¾ÜÕÇå¾²¡£¡£¡£¡£¡£¿£¿£¿£¿£¿Ú·þÖ÷Òª¾Ð¡³¦Éϲ¿ÎüÊÕ£¬£¬£¬£¬£¬ÎüÊÕ²»ÍêÈ«£¬£¬£¬£¬£¬Ò²²»¹æÔò£¬£¬£¬£¬£¬¿Ú·þÎüÊÕÂÊÔ¼75%£¬£¬£¬£¬£¬ÉúÎïʹÓÃ¶ÈÆ¬¼ÁΪ60%¡«80%£¬£¬£¬£¬£¬õ¯¼ÁΪ70%¡«85%£¬£¬£¬£¬£¬¿Ú·þÆðЧʱ¼ä0.5¡«2Сʱ£¬£¬£¬£¬£¬Ñª½¬Å¨¶È´ï·åʱ¼ä2¡«3Сʱ£¬£¬£¬£¬£¬»ñ×î´óЧӦʱ¼äΪ2¡«6Сʱ¡£¡£¡£¡£¡£×÷ÓÃά³Ö4¡«7Ì죻£»£»£»£»¾²Âö×¢ÉäÆðЧʱ¼ä5¡«30·ÖÖÓ£¬£¬£¬£¬£¬´ï·åʱ¼ä1¡«4Сʱ£¬£¬£¬£¬£¬Ò»Á¬Ê±¼ä6Сʱ¡£¡£¡£¡£¡£×¢Éä¸øÒ©Ò×Ö²»Á¼·´Ó¦£¬£¬£¬£¬£¬¹Ê½öÊÊÓÃÓÚÑÏÖØÐÄË¥ÐèÒªÁ¬Ã¦ÖÎÁƵIJ¡ÈË¡£¡£¡£¡£¡£ÂþÑÜ£ºÎüÊÕºóÆÕ±éÂþÑܵ½¸÷×éÖ¯£¬£¬£¬£¬£¬²¿·Ö¾µ¨µÀ½øÈ볦µÀ¶øÐγɸΨC³¦Ñ»·¡£¡£¡£¡£¡£Ñª½¬ÂѰ×ÍŽáÂʵͣ¬£¬£¬£¬£¬Îª20%¡«25%£¬£¬£¬£¬£¬±í¹ÛÂþÑÜÈÝ»ýΪ6¡«10L/©K¡£¡£¡£¡£¡£ ´úлÓëÉøÍ¸£ºµØ¸ßÐÁÔÚÌåÄÚת»¯´úлºÜÉÙ£¬£¬£¬£¬£¬Ö÷ÒªÒÔÕæÏàÓÉÉöɨ³ý£¬£¬£¬£¬£¬ÄòÖÐÇãÔþÁ¿ÎªÓÃÁ¿µÄ50%¡«70%£»£»£»£»£»µØ¸ßÐÁÏû³ý°ëË¥ÆÚƽ¾ùΪ35Сʱ¡£¡£¡£¡£¡£
¡¾Öü²Ø¡¿ÃÜ·âÉúÑÄ¡£¡£¡£¡£¡£
¡¾°ü×°¡¿²£Á§Æ¿£¬£¬£¬£¬£¬30ml/Æ¿£¬£¬£¬£¬£¬1Æ¿/ºÐ£»£»£»£»£»100ml/Æ¿£¬£¬£¬£¬£¬1Æ¿/ºÐ
¡¾ÓÐÓÃÆÚ¡¿24¸öÔÂ
¡¾Ö´Ðбê×¼¡¿¡¶ÖлªÈËÃñ¹²ºÍ¹úÒ©µä¡·2015Äê°æ£¨¶þ²¿£©
¡¾Åú×¼Îĺš¿¹úÒ©×¼×ÖH10970389
¡¾Éú²úÆóÒµ¡¿
ÆóÒµÃû³Æ£º±±¾©»ªÈó¸ß¿Æ×ÔȻҩÎïÓÐÏÞ¹«Ë¾
Éú²úµØµã£º±±¾©ÊÐÑÓÇìÇøÑÓÇìÕòæ£Ë®ÄϽÖ11ºÅ
ÓÊÕþ±àÂ룺102100
µç»°ºÅÂ룺400¡ª1698808
´«ÕæºÅÂ룺010¡ª81192559